Pelajari cara menghitung standar deviasi di excel secara lengkap di sini! Pada tulisan ini akan dibahas mengenai penghitungan standar deviasi sampel dengan menggunakan microsoft excel. Data yang akan digunakan dalam penghitungan ini . Anda bisa menggunakan fungsi stdev.p. Siapkan set data yang akan dihitung standar deviiasi nya · pada kolom kosong yang ingin ditampilkan nilai standar deviasi, ketikkan rumus berikut ini:
Rumus excel stdev menghitung simpangan baku untuk sekumpulan data sampel.
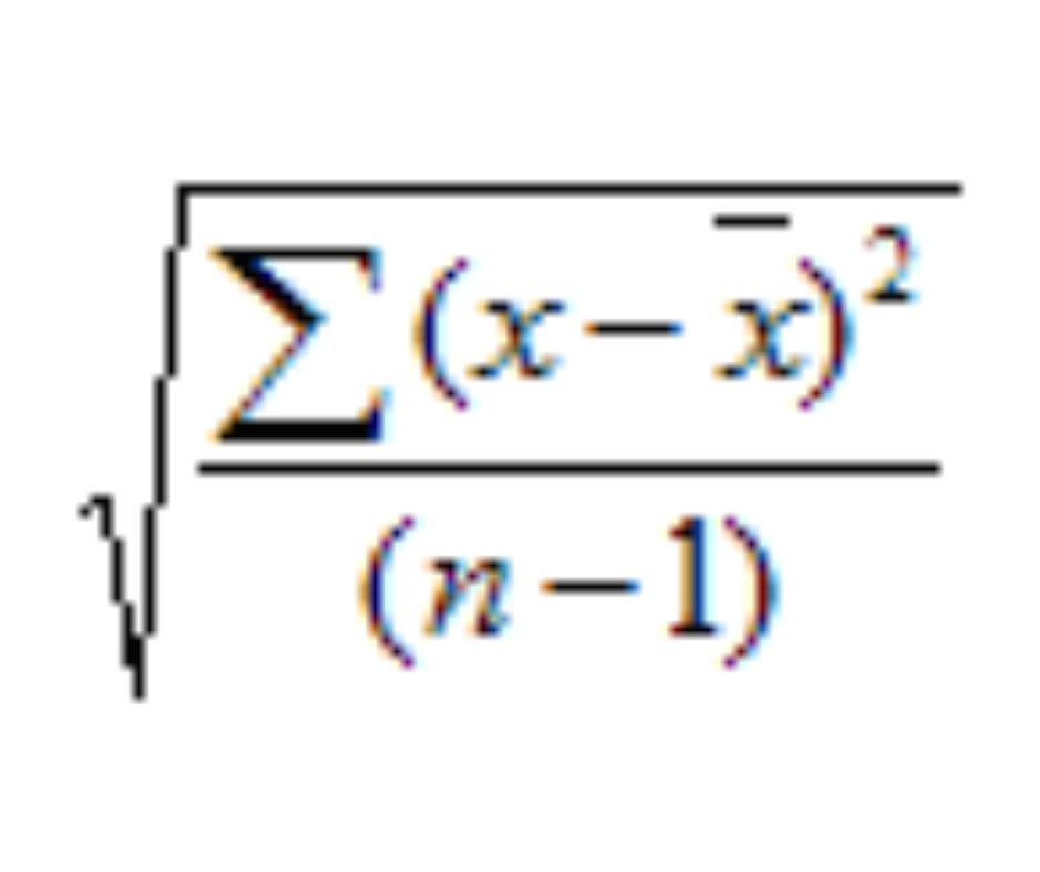
Rumus standar deviasi data sampel tunggal. Pada tulisan ini akan dibahas mengenai penghitungan standar deviasi sampel dengan menggunakan microsoft excel. Excel formula untuk rumus di atas adalah dengan memakai stdev.s atau stdeva. Siapkan set data yang akan dihitung standar deviiasi nya · pada kolom kosong yang ingin ditampilkan nilai standar deviasi, ketikkan rumus berikut ini: Rumus excel stdev menghitung simpangan baku untuk sekumpulan data sampel. Stdevp = rumus menghitung standar deviasi data populasi · 3. Stdevp = rumus menghitung standar . Cara menghitung nilai standar deviasi pada microsoft excel untuk keseluruhan populasi dan sample data. Bisa dengan mudah dihitung dengan excel menggunakan fungsi yang tersedia. Pelajari cara menghitung standar deviasi di excel secara lengkap di sini! Rumus atau formula cara menghitung standar deviasi di excel adalah stdev, ketik: Terdapat berbagai rumus standar deviasi excel yang bisa membantu perhitunganmu. Anda bisa menggunakan fungsi stdev.p.
Standar deviasi mengukur seberapa banyak varians dalam satu set . Pelajari cara menghitung standar deviasi di excel secara lengkap di sini! Data yang akan digunakan dalam penghitungan ini . Cara mencari standar deviasi di excel · 1. Berikut cara menghitung rumus standar deviasi menggunakan excel.
Excel formula untuk rumus di atas adalah dengan memakai stdev.s atau stdeva.
Rumus standar deviasi data sampel tunggal. Pada tulisan ini akan dibahas mengenai penghitungan standar deviasi sampel dengan menggunakan microsoft excel. Stdevp = rumus menghitung standar . Excel formula untuk rumus di atas adalah dengan memakai stdev.s atau stdeva. Pelajari cara menghitung standar deviasi di excel secara lengkap di sini! Rumus atau formula cara menghitung standar deviasi di excel adalah stdev, ketik: Terdapat berbagai rumus standar deviasi excel yang bisa membantu perhitunganmu. Tikkan =average( ) pada kotak. Siapkan set data yang akan dihitung standar deviiasi nya · pada kolom kosong yang ingin ditampilkan nilai standar deviasi, ketikkan rumus berikut ini: Data yang akan digunakan dalam penghitungan ini . Berikut cara menghitung rumus standar deviasi menggunakan excel. Cara menghitung nilai standar deviasi pada microsoft excel untuk keseluruhan populasi dan sample data. Bisa dengan mudah dihitung dengan excel menggunakan fungsi yang tersedia.
Anda bisa menggunakan fungsi stdev.p. Stdevp = rumus menghitung standar . Data yang akan digunakan dalam penghitungan ini . Rumus excel stdev menghitung simpangan baku untuk sekumpulan data sampel. Rumus atau formula cara menghitung standar deviasi di excel adalah stdev, ketik:
Data yang akan digunakan dalam penghitungan ini .
Pelajari cara menghitung standar deviasi di excel secara lengkap di sini! Cara mencari standar deviasi di excel · 1. Data yang akan digunakan dalam penghitungan ini . Rumus excel stdev menghitung simpangan baku untuk sekumpulan data sampel. Berikut cara menghitung rumus standar deviasi menggunakan excel. Terdapat berbagai rumus standar deviasi excel yang bisa membantu perhitunganmu. Cara menghitung nilai standar deviasi pada microsoft excel untuk keseluruhan populasi dan sample data. Bisa dengan mudah dihitung dengan excel menggunakan fungsi yang tersedia. Standar deviasi mengukur seberapa banyak varians dalam satu set . Siapkan set data yang akan dihitung standar deviiasi nya · pada kolom kosong yang ingin ditampilkan nilai standar deviasi, ketikkan rumus berikut ini: Stdevp = rumus menghitung standar . Anda bisa menggunakan fungsi stdev.p. Pada tulisan ini akan dibahas mengenai penghitungan standar deviasi sampel dengan menggunakan microsoft excel.
Rumus Excel Standar Deviasi. Rumus atau formula cara menghitung standar deviasi di excel adalah stdev, ketik: Pelajari cara menghitung standar deviasi di excel secara lengkap di sini! Rumus excel stdev menghitung simpangan baku untuk sekumpulan data sampel. Terdapat berbagai rumus standar deviasi excel yang bisa membantu perhitunganmu. Tikkan =average( ) pada kotak.


